Облитерация
Введение.
Радиочастотная облитерация (РЧО) один из основных методов устранения патологического рефлюкса по несостоятельной сафенной вене и является альтернативой классической флебэктомии . По данным Millenium Research Group в США в 2008 году в 95% случаев пациентам с варикозной болезнью (ВБ) выполнялась эндовазальная термооблитерация и только в 5% классическая флебэктомия. В Великобритании в тот же период при хирургическом лечении варикозной болезни флебэктомия выполнялась в 80 случаев, термооблитерация в 20% . По результатам отечественного обсервационного исследования СПЕКТР, представленным на 9-й конференции Ассоциации флебологов России в мае 2012 г., российские флебологи в 40% в качестве основы для операции по поводу варикозной болезни методом выбора определили эндоваскулярные вмешательства, а в 60% классическую флебэктомию . В Нидерландах департамент здравоохранения заключает договор с клиниками на лечение варикозной болезни только при условии применения методов эндовазальной термооблитерации в 90% случаев . Наиболее высоким уровнем доказательности при сравнении эффективности методов лечения обладают проспективные рандомизированные и нерандомизированные исследования . На сегодняшний день опубликовано только одно рандомизированное проспективное исследование по сравнению РЧО ClosureFAST и стриппинга . Данные о влиянии диаметра целевой вены на эффективность РЧО и течение послеоперационного периода в современной литературе ограничены. В последних рекомендациях американского венозного форума 2011 года ограничением к выполнению РЧО является диаметр сафенной вены более 15 мм., в связи с увеличением риска неполной облитерации и развития флебита целевой вены. Частота таких осложнений не описана . На сегодняшний день опубликованы только одно исследование со сравнительным анализом результатов применения РЧО на венах с диаметрами вен до 12 мм. и больше 12 мм. . Хирургические методы устранения вертикального рефлюкса могут сопровождаться негативными эффектами и осложнениями. Наиболее часто в послеоперационном периоде встречаются умеренный болевой синдром, экхимозы, гиперпигментация кожи и преходящие парестезии . До настоящего времени в клинических исследованиях по флебологии применялись однокомпонентные конечные точки. Последние позволяют достоверно оценить только один исход воздействия – или клинический, или анатомический. Анализ вторичных конечных точек оказывается менее достоверным. Между тем эти точки могут иметь не меньшее клиническое значение, чем первичная. Представляется актуальным применение комбинированной точки, включающей несколько наиболее важных анатомических и клинических исходов РЧО и флебэктомии . Настоящее исследование было спланировано для анализа эффективности РЧО, сравнительной оценки эффективности РЧО и стриппинга, а так же изучения особенностей течения послеоперационного периода в зависимости от диаметра большой подкожной вены.
Современные методы лечения варикоза
Среди современных (внутрисосудистых) методов борьбы с варикозом, которые пришли на смену традиционной флебэктомии, можно отметить:
Лазерное лечение варкоза
- лечение лазером, популярное благодаря низкой частоте побочных явлений, слабым болевым ощущениям после процедуры и отсутствию разрезов;
- склеротерапию, предполагающую склеивание расширенных вен с помощью введения в них специального состава (склерозанта);
- радиочастотную абляцию, то есть воздействие на пораженную вену радиоволн определенной частоты с последующим ее зарастанием и рассасыванием.
Отметим, что классическая флебэктомия, которая уже более 100 лет используется в лечении варикоза, несмотря на хорошую результативность и отточенность методики сегодня уступает более молодым методам.
Склеротерапия
Длительный реабилитационный период и косметические дефекты после стандартной флебэктомии определяют общемировую тенденцию обращения к внутрисосудистым способам лечения варикоза.
Результаты
Расчет объема выборки. В пилотном исследовании в
соответствии с основным критерием оценки провели
оценку уровня боли в бедренном сегменте в 1-е сутки после операции у 10 пациентов после РЧО и 10 — после
флеб эктомии. Для достижения 90% мощности исследования при уровне ошибки первого рода в 5% требуемый
объем выборки составил 83 пациента.
Характеристика групп пациентов. На 218 конечностях
проведено 108 РЧО и 110 флебэктомий. Группы пациентов не имели значимых различий по полу, возрасту, ИМТ,
исходным показателям качества жизни по опроснику
CIVIQ2 и тяжести заболевания по опроснику VCSS
(табл. 1).
Таблица 1. Демографические характеристики групп сравнения
| Показатель | РЧО (n=108) | Стриппинг (n=110) | p |
| Возраст, годы | 47,5±13,2 | 47,4±14,8 | 0,6 |
| Число женщин | 81 (75%) | 78 (70,9%) | 0,5 |
| ИМТ, кг/м2 | 26,9±3,0 | 25,8±3,4 | 0,08 |
| Диаметр СФС, мм | 13,4±2,7 | 13,6±3,2 | 0,4 |
| Диаметр БПВ в средней трети бедра, мм | 8,1±1,9 | 8,3±1,9 | 0,6 |
| VCSS | 5,3 | 5,6 | 0,5 |
| CIVIQ2 (интегральный показатель) | 7,6 | 7,96 | 0,3 |
Основной критерий оценки (боль после вмешательства).
Медиана уровня боли в бедре в 1-е сутки после РЧО оказалась равной 1,5, после стриппинга — 4,0,
различия статистически значимы (p=0,0002). Диаграмма размаха значений уровня боли представлена на рис. 1.
Рис. 1. Диаграмма размаха значений уровня боли в бедре
после РЧО (1) и стриппинга (2) в 1-е сутки после операции по 10-балльной цифровой рейтинговой шкале.

Динамика болевого синдрома в течение 7 сут после
вмешательства представлена на рис. 2.
Рис. 2. Динамика боли по 10-балльной цифровой рейтинговой шкале (критерий Манна—Уитни).

Технический (анатомический) результат вмешательства. Частота аблации (фиброзной трансформации),
облитерации, реканализации при РЧО и частота обнаружения резидуального сегмента БПВ через 1 год на уровне
середины бедра по результатам ультразвукового исследования представлена в табл. 2. Статистически значимого
различия между частотой неблагоприятного технического
исхода (реканализация или наличие неудаленного сегмента БПВ) не обнаружено (p=0,25).
Таблица 2. Частота аблации, облитерации, реканализации БПВ
после РЧО и частота обнаружения резидуального
сегмента БПВ после стриппинга через 1 год на уровне середины бедра
| Вид вмешательства | Аблация | Облитерация | Реканализация | Всего |
| РЧО | 74 (68,5%) | 25 (23,2%) | 9 (8,3%) | 108 |
| Отсутствие вены | Резидуальный сегмент | |||
| Стриппинг | 105 (95,4%) | 5 (4,6%) | 110 |
Относительный риск (ОР) развития неблагоприятного технического исхода составил 0,97 (95% ДИ 0,9—1,05).
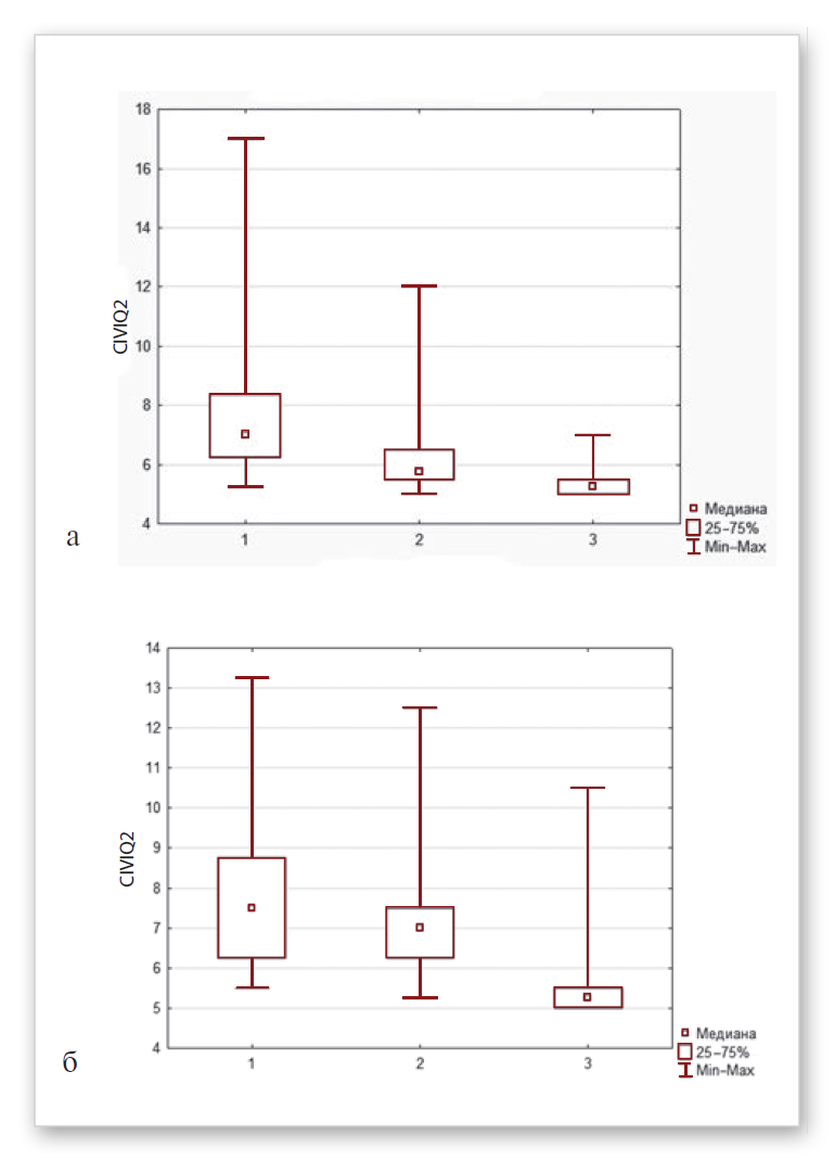
Динамика показателей качества жизни. Медиана показателя качества жизни по опрос нику CIVIQ2 в группе
РЧО равнялась до операции 7,68, через 1 мес — 6,06, через
1 год — 5,38, в группе стриппинга — соответственно 7,96,
6,96, 5,38. Статистически значимых различий показателей
качества жизни между группами до операции не было
(p=0,18). Через 1 мес показатели качества жизни после
РЧО меньше, чем после флебэктомии (p
Диаграммы размаха изменения показателей качества
жизни после РЧО и стриппинга представлены на рис. 3.
Рис. 3. Диаграмма размаха показателей качества жизни
по опроснику CIVIQ2 после РЧО (а) и стриппинга (б) до
операции (1), через 1 мес (2) и 1 год (3) после операции.

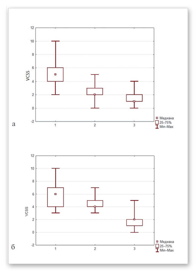
Динамика тяжести заболевания. Медиана показателя
тяжести заболевания по шкале VCSS в группе РЧО равнялась до операции 5,31, через 1 мес — 2,39, через 1 год —
1,41, в группе стриппинга — соответственно 5,63, 4,43,
1,64. Статистически значимых различий по тяжести заболевания между группами до операции не было (p=0,1).
Через 1 мес показатели тяжести заболевания после РЧО были меньше, чем после стриппинга (p
Диаграммы размаха изменения тяжести заболевания
после РЧО и стриппинга представлены на рис. 4.
Рис. 4. Диаграмма размаха показателей тяжести заболе-
вания по шкале VCSS после РЧО (а) и стриппинга (б) до
операции (1), через 1 мес (2) и 1 год (3) после операции.

Анализ осложнений. Не зарегистрировано осложнений, которые могли повлиять на сроки временной
нетрудоспособности, реабилитации, потребовать госпитализации или дополнительных назначений. Малые
осложнения представлены в табл. 3. Подкожные кровоизлияния и
парестезии развивались значимо чаще после стриппинга.
Таблица 3. Частота осложнений в группах
| Осложнение | РЧО (n=108) | Стриппинг (n=110) | p |
| Подкожные кровоизлияния | 11 (10,2%) | 50 (45,5%)) | |
| Парестезии) | 5 (4,6%)) | 44 (40,0%) | |
| Всего пациентов | 108 | 110 |
Литература.
- Handbook of Venous Disorders Guidelines of the American Venous Forum / под ред. P. Gloviczki. : Hodder Arnold Publishers, 2009. Вып. 3.
- Edwards a G. и др. Management of varicose veins: a survey of current practice by members of the Vascular Society of Great Britain and Ireland. // Annals of the Royal College of Surgeons of England. 2009. Т. 91. № 1. С. 77–80.
- Савельев В.С. и др. Проспективное обсервационное исследование СПЕКТР: регистр пациентов с хроническими заболеваниями вен нижних конечностей // Флебология. 2012. Т. 6. № 1. С. 4–9.
- Lawson J, Gauw S, van Vlijmen C, Pronk P, Gaastra M, Mooij M W.C. Sapheon: the solution? // Phlebology. 2013. Т. 28. № Suppl 1. С. 2–9.
- Гринхальх Т. Основы доказательной медицины. : ГЭОТАР-Медиа, 2006.
- Rasmussen L.H. и др. Randomized clinical trial comparing endovenous laser ablation , radiofrequency ablation , foam sclerotherapy and surgical stripping for great saphenous varicose veins // 2011. С. 1079–1087.
- Gloviczki P. и др. The care of patients with varicose veins and associated chronic venous diseases: clinical practice guidelines of the Society for Vascular Surgery and the American Venous Forum. // Journal of vascular surgery : official publication, the Society for Vascular Surgery International Society for Cardiovascular Surgery, North American Chapter. 2011. Т. 53. № 5 Suppl. С. 2S–48S.
- Calcagno D., Rossi J. a, Ha C. Effect of saphenous vein diameter on closure rate with ClosureFAST radiofrequency catheter. // Vascular and endovascular surgery. 2009. Т. 43. № 6. С. 567–70.
- Subramonia S., Lees T. Randomized clinical trial of radiofrequency ablation or conventional high ligation and stripping for great saphenous varicose veins. // The British journal of surgery. 2010. Т. 97. № 3. С. 328–36.
- Kleist P. Composite Endpoints for Clinical Trials: Current Perspectives // Int J Pharm. 2007. Т. 21. № 3. С. 187–198.
- Комбинированные конечные точки в клинических исследованиях : обзор публикаций // 2010. С. 39–53.
- STROBE Statement . URL: http://www.strobe-statement.org/. No I. и др. Checklist of items that should be included in reports of cohort studies // № 1. С. 1–2.
- Шайдаков Е.В. и др. Радиочастотная облитерация и стриппинг: сравнительное многоцентровое проспективное нерандомизированное исследование // Флебология. 2013. Т. 1. С. 47–54.
- VNUS Medical Technologies, Inc. ClosureFAST Catheter INSTRUCTIONS FOR USE, INDICATIONS FOR USE, GENERATOR SET-UP // 2007. С. 1–7.
- Kundu S. и др. Standards of Practice Recommended Reporting Standards for Endovenous Ablation for the Treatment of Venous Insufficiency : Joint Statement of the American Venous Forum and the Society of Interventional Radiology // 2007. С. 1073–1080.
- Coleridge-Smith P. и др. Duplex ultrasound investigation of the veins in chronic venous disease of the lower limbs—UIP consensus document. Part I. Basic principles. // European journal of vascular and endovascular surgery : the official journal of the European Society for Vascular Surgery. 2006. Т. 31. № 1. С. 83–92.
- KNIME (Konstanz Information Miner).
- Berthold M.R. и др. KNIME: The Konstanz Information Miner // Studies in Classification, Data Analysis, and Knowledge Organization. Berlin: Springer, 2007. С. 319–326.
Облитерирующий атеросклероз симптомы
Симптомы облитерирующего атеросклероза зависят от места пораженных артерий. Однако имеются и общие признаки. К ним относятся признаки выраженного старения, пациент выглядит старше, чем на самом деле. Раннее поседение волос, множественные пятна желтого цвета на коже туловища, обильный рост волос на мочке уха и формирование диагональной складки на ней. Наличие матового круга по краю радужки глаза.
Облитерирующий атеросклероз артерий сердца проявляется ишемической болезнью сердца. Чаще всего страдают пациенты мужского пола в возрасте более 40 лет. Но сейчас имеется тенденция к уменьшению возраста больных с облитерирующем атеросклерозом и ИБС. В результате происходит закупорка или уменьшение просвета коронарных сосудов. На участке миокарда, где находятся патологически измененные артерии, происходит ишемизация. Основными симптомами ишемии миокарда являются загрудинные боли сжимающего характера, которые купируются нитратами. Человек во время приступа испытывает страх смерти, резко останавливается, если находится в движении, и вынужден переждать приступ.
Облитерирующий атеросклероз аорты проявляется жгучей болью в груди (при поражении грудного отдела), которая может отдавать в шею, руки, спину. Боль обычно постоянная, не устраняется нитратами. Из-за уплотнения стенки аорты может появиться затруднение глотания, охриплость. В результате снижения кровоснабжения головного мозга могут появляться эпилептические припадки. При облитерирующем атеросклерозе брюшного отдела аорты возникает перемежающаяся хромота, похолодание и онемение конечностей, выпадение волос, атрофия мускулатуры голеней и бедер, импотенция, появление трофических язв. Осложнением облитерирующего атеросклероза аорты является аневризма, опасность которой заключается в возможности ее разрыва и смертельного исхода.
Облитерирующий атеросклероз конечностей проявляется слабостью, повышенной утомляемостью при физической работе, ощущением зябкости ног, ползаньем мурашек, перемежающей хромотой, бледностью, трофическими нарушениями. На главных артериях нижних конечностей может отсутствовать пульс.
Облитерирующий атеросклероз сосудов головного мозга манифестирует в виде головной боли, звона в ушах. Позже развивается плохая память на недавние события, хорошая – на события давних лет. Нарушается сон. Пациент с облитерирующим атеросклерозом головного мозга становится плаксивым, придирчивым, у него меняется характер. Лицо становится амимичным, взгляд тусклым, невыразительным. Походка становится шаркающей. Поражаются сосуды сетчатки, в результате снижается зрение. Грозными осложнениями данной болезни являются инсульт и инфаркт головного мозга.
Эффективность внутрисосудистых методов
Согласно большинству источников:
- склеротерапия при ширине венозного просвета от 10 мм начинает существенно терять свою эффективность;
- радиочастотная абляция, если подкожные вены расширены очень значительно (более 15 мм в просвете), является малоэффективной;
- лазерный метод лечения, до недавнего времени отстававший и которым предполагали лечить вены только до 10 мм в просвете, сегодня переживает новый период. Это связано с появлением лазеров нового поколения, которые генерируют волны длиной 1470 нм и имеют радиальные (круговые) световоды. Благодаря этому лазерная методика в состоянии проводить обработку вен до 18 мм, а по некоторым источникам – и более.
Применение того или иного метода решается с учетом стадии заболевания, финансовой доступности лечения для пациента, показаний и противопоказаний.
Результаты.
Оценка достаточности выборки.
Выполнена по таблице сопряженности частот исходов по комбинированной конечной точке с помощью формулы Лера. Имеющаяся выборка обеспечивает 90% мощность исследования при выявлении 30% разности между подгруппами РЧО и флебэктомии и 80% мощность при выявлении 30% разности между подгруппами РЧО с разными диаметрами вен (5% уровень значимости, стандартизованная разность 0,6).
Характеристика участников исследования.
Подгруппа «флебэктомия ≥ 14 мм» составила 65 пациентов, «РЧО ≥ 14 мм» — 64 пациента, «РЧО
Таблица 3. Демографические характеристики участников исследования «РЧО ≥ 14 мм» и «флебэктомия ≥ 14 мм».
| Показатель | РЧО | Стриппинг | Степень различий | ||||
| Медиана (Me) | верх. кварт. | нижн. кварт. | Медиана (Me) | верх. кварт. | нижн. кварт. | ||
| Количество | n = 64 | n = 65 | |||||
| CEAP C3 | 34 (53,1%) | 28 (43,1%) | p = 0,5 | ||||
| Пол Ж | 48 (75%) | 50 (76,9%) | p = 0,92 | ||||
| Возраст | Me=45,5 (46.3±9) | 40,75 | 52,25 | Me=49 (48.1±7,9) | 42 | 54 | p = 0,24 |
| ИМТ | Me=27 (27.2±1.7) | 26,1 | 28,6 | Me=25,9 (26.2±1.9) | 24,5 | 27,5 | p |
| Диаметр БПВ у соустья (мм) | Me=15 (15±1) | 14 | 16 | Me=15 (15.2±1.2) | 14 | 17 | р = 0,34 |
| Время операции (мин) | Me=41,5 (41,1±9,3) | 34,25 | 48,25 | Me=67 (66±15,7) | 52 | 80 | p |
| VCSS | Me=5 (5,48±1,7) | 4 | 6,25 | Me=6 (5,6±1,6) | 4 | 7 | p = 0,67 |
| CIVIQ2 (интегральный показатель) | Me=7 (7,9±2,5) | 6,2 | 8,56 | Me=7,5 (7,9±2) | 6,5 | 8,75 | p = 0,4 |
Примечание: зеленым фоном выделены параметры со статистически значимыми различиями между группами.
В подгруппах «РЧО ≥ 14 мм» и «флебэктомия ≥ 14 мм» статистически достоверных различий между диаметрами вен в приустьевом отделе не было (p = 0,34). Медиана ИМТ в подгруппах «РЧО ≥ 14 мм» и «флебэктомия ≥ 14 мм» составила 27 и 25,9 соответственно, различие статистически значимо на уровне p
Как происходит лечение вен радиоволнами
Через небольшой точечный прокол (пункционный) в пораженную вену вводится волновод (радиоволновой катетер) и проводится до места, в котором происходит разветвление этой вены на поверхностную и глубокую. Вся процедура проводится под четким УЗ-контролем. После того, как врач убедился в правильности введения волновода, создается т.н. «водная перина» – для обезболивания и защиты окружающих тканей от теплового воздействия радиоволн вокруг вены вводится анестетик.
Обработка производится по принципу обратной связи: прибор (радиочастотный генератор), к которому подключен волновод, подбирает мощность воздействия на венозную стенку с учетом температуры внутри вены и передает волны к катетеру. Современные аппараты позволяют обрабатывать до 7 см вены за одно включение. Затем волновод продвигается дальше по вене. Так постепенно обрабатывается вся вена. На экран прибора непрерывно выводятся данные о ходе процедуры, поэтому врач детально отслеживает и корректирует процесс.
По окончании абляции место прокола закрывается повязкой, а на обработанную конечность надевается компрессионное белье.
Реабилитационный период
Необходимости в госпитализации нет, поэтому пациент после радиочастотной абляции может отправиться домой.
Сразу после РЧА пациент обязательно должен совершить пешую прогулку не менее 30–40 минут.
Компрессионное белье
Главное преимущество радиочастотной облитерации перед лазерным лечением и склеротерапией – самый короткий период обязательной компрессии. Специальное белье нужно носить только 1–2 недели (а не 2 месяца), снимая его только на ночь.
Пару суток после манипуляции нельзя делать физические упражнения (гимнастика, аэробика), использовать велотренажеры.
Также через 2–3 суток нужно будет посетить врача для первого осмотра. Периодичность следующих осмотров определяет врач.
Каждый день нужно совершать пешую прогулку не менее часа.
Несколько недель будет существовать запрет на горячие ванны и сауны.
Принцип действия
ЭВЛК не случайно называют революционным методом лечения варикозного расширения вен. В зарубежных клиниках он считается основным видом лечения данной патологии, достойной альтернативой оперативного вмешательства. В соответствии с многочисленными исследованиями, риск возникновения осложнений после ЭВЛК низок по сравнению с другими методиками.
Принцип действия ЭВЛК заключается в следующем: под воздействием лазерной энергии больная вена запаивается. Сама процедура не требует хирургического вмешательства, а разрезы (даже минимальные) не осуществляются. Длится она не более сорока минут и условно может быть разделена на 2 этапа:
- Воздействие лазерным лучом на вену с дисфункцией клапанов, которая является «основой» заболевания;
- Воздействие лазерным лучом на притоки магистральных вен, поражённых заболеванием, выпирание которых из-под кожи можно назвать следствием патологии.
Вследствие спаивания вены кровь по ней больше не циркулирует, её потоки переходят в здоровые вены, а больной восстанавливается в течение 30-ти минут и уже на следующий день может вернуться к привычной для себя жизни.
Кому показана и противопоказана РЧА
Проведение процедуры показано больным с:
- варикозным расширением нижних конечностей первой и второй стадий;
- посттромбофлебитической болезнью нижних конечностей;
- венозной недостаточностью второго класса по классификации СЕАР и выше.
РЧА не проводится пациентам с:
- острым тромбофлебитом;
- индивидуальными особенностями развития поверхностных вен (узкие вены или выраженный изгиб венозного русла, что не дает провести эту процедуру технически);
- варикозным расширением веннижних конечностей третьей стадии, при котором на венах определяются множественные узлы большого размера;
- наличием на коже в месте проведения манипуляции трофических изменений (варикозной экземы, дерматита, трофических язв);
- проблемами передвижения (опасно тромбированием).
Радиочастотная абляция вен по понятным причинам также противопоказана беременным и кормящим женщинам. Также не рекомендовано проведение облитерации вен с помощью радиоволнового катетера у лиц со значительным ожирением, поскольку после операции применение компрессионного бинтованиястановится затруднительным.
Мы рекомендуем!
Обязательным методом исследования перед операцией, помимо прочих, является допплеровское ультразвуковое исследование вен на ногах. В качестве дополнительных методов используются контрастная флебография, компьютерная или магнитно-резонансная ангиографии.
Кроме УЗИ необходимо проведение:
- общеклинических анализов (общего анализа крови, анализ на ВИЧ, сифилис, вирусные гепатиты);
- гемостазиограммы;
- электрокардиографии.
Перечень дополнительных исследований может быть дополнен на усмотрение врача, если у пациента имеются сопутствующие заболевания или риски появления осложнений.Какой-либо специальной подготовки перед проведением РЧА от пациента не требуется.
Как выполняетсяпроцедура
РЧА– амбулаторная процедура, которая выполняется под местной анестезией. Непосредственно перед манипуляцией в положении стоя проводится дуплексное сканирование варикозных сосудов: на катетере определяются уровни несостоятельных венозных клапанов, маркируются места впадения варикозных притоков и сами притоки.
После того, как катетер установлен в нужном участке, вокруг венозного сосуда, который будет подвержен облитерации, создают «водяную перину» из местного анестетика. Это выполняется для того, чтобы отграничить этот сосуд от окружающих тканей и предупредить их повреждение.

Как проводиться операция
Затем включают генератор тока, который нагревает венозную стенку до температуры 120°С. За одно включение аппарата врач может провести облитерацию семисантиметрового участка вены. Длится одно включение около 20 секунд. Затем катетер подтягивают по сосуду до следующей маркировки и повторяютвключение генератора. В среднем вся процедура РЧА вместе с обработкой варикозных притоков занимает около 40 минут.
По завершению РЧА зонд с катетером извлекают, на место катетеризации вены накладывают стерильную повязку, а ногу бинтуют или одевают в медицинский компрессионный трикотаж. После процедуры больному нужно самостоятельно идти домой. Покой после манипуляции больным не показан. Носить компрессионное белье после РЧА нужно в течение 2-4 суток.
После РЧА возможно возникновение осложнений:
- болезненность по ходу облитерированного сосуда;
- отек мягких тканей вокруг вены;
- ожогов кожи;
- кровотечений из пунктированной вены;
- образование тромбов.
Осложнения после РЧА встречаются достаточно редко – не более 1-2%. Гораздо чаще встречаются рецидивы, даже при качественно выполненной процедуре. Частота рецидивирования после радиочастотной облитерации составляет 10-15%, что не превышает среднестатистический показатель после других оперативных вмешательств.
Причинами рецидива чаще всего являются:
- отсутствие полного перекрытия просвета сосуда вследствие нарушения техники проведения процедуры или индивидуальных особенностей строения вен;
- частичное восстановление кровотока по облитерированному сосуду;
- заброс крови из паховых притоков при облитерации варикозной вены.
РЧА применяют как монометод, так и дополнительно к другим методам оперативных вмешательств, например, совместно с минифлебэктомией (удалением притоков поверхностных вен, пораженных варикозом).



Вы все еще думаете что ИЗБАВИТЬСЯ от ВАРИКОЗА невозможно!?
Стоимость лазерного лечения варикоза
Центр Инновационной Флебологии предоставляет услуги по лазерному лечению вен (варикоза)
по приемлемым ценам на современном оборудовании с использованием лазера немецкой компании (Biolitec).
Мы гарантируем своим пациентам успех в лечении.
Суть метода эндовазальной (эндовенозной) лазерной облитерации

В подколенную зону в венозный просвет вводится радиальный световод, который продвигается по вене до паха (сафено-феморальное соустье). Следующий этап ЭВЛО — движение световода в обратном направлении с одновременным воздействием на участок лазером.
В результате эндовазальной лазерной облитерации под действием высоких температур происходят сворачивание крови, ожог внутренней стенки (интима) и закупоривание вены, которая в последующем просто рассасывается. Все стадии лазерного лечения варикоза методом ЭВЛО проходят строго под контролем ультразвукового исследования, при использовании лазера применяется местная анестезия.
Суть метода
Что такое радиочастотная облитерация вен?Термином «облитерация» в медицине называют процесс сращения стенок полого органа, например, сосудов, за счет стимулированного разрастания тканей внутренних стенок. Чтобы простимулировать ткани внутренней поверхности сосуда (интимы) к разрастанию, применяют радиочастотный метод.
Этот метод с успехом уже давно используется в кардиохирургии. Флебологи внедрили его в свою практику сравнительно недавно.
Для данного метода используют специальный катетер-проводник, который вводят в варикозно расширенный сосуд. Через катетер к сосудистым стенкам подводят внутрисосудистый катетер, подключенный к генератору радиочастотного тока высокой мощности.
От воздействия такого излучения на внутреннюю поверхность венозного сосуда происходит разрушение ее интимы. На месте разрушенных тканей со временем разрастается соединительная ткань, которая спаивает противоположные сосудистые стенки, перекрывая их просвет и создавая препятствие для тока крови.
По своей сути, радиочастотная облитерация является одним из методов склерозирования венозных сосудов, как, например, лазерная облитерация или склерозирование с помощью специального вещества – склерозанта. Это дает РЧА ряд преимуществ перед другими склерозирующими методами лечения варикоза:
- высокая точность склерозирования (может спаиваться только пораженный участок);
- безболезненность метода (проводится под местной анестезией);
- минимальнаятравматичность тканей (на коже остается только место от пункции вены, которое быстро затягивается);
- не требует послеоперационного наблюдения и реабилитации, поэтому проводится в амбулаторных условиях;
- быстрый эффект после процедуры;
- возможность склерозирования даже крупных сосудов;
- отсутствие аллергических реакций на склерозирующее вещество.
Shaidakov E.V., MD, Ph.D. Prof.1, Grigorian A.G. MD1,2, Ilyukhin E.A. MD2, Bulatov V.L. MD1,2, Galchenko M.I.3
- Institute for Experimental Medicine, Russian Academy of Medical Sciences, St. Petersburg, Russia.
- Private surgery clinic “Medalp”, St. Petersburg, Russia.
- Department of Electrical Engineering, Electric Power Supply, Automatic Equipment and Information Technology, State Agrarian University, St. Petersburg, Russia.
Для корреспонденции:
Григорян Арсен Грачьяевич
197372, Россия, Санкт-Петербург, ул. Комендантский пр. 20-3-85
grigoryan.ars@gmail.com
+7921-888-45-71
Ключевые слова: эндовенозная термооблитерация, радиочастотная облитерация, стриппинг, флебэктомия, комбинированная конечная точка, большая подкожная вена.
Key words: Endovenous thermal obliteration, radiofrequency obliteration, stripping, phlebectomy, composite endpoint, great saphenous vein.
Техника эндовенозной лазерной облитерации вен
Процедура Эндовенозной лазерной облитерации (ЭВЛО) не требует госпитализации в стационар, напротив, после операции необходимо «погулять» 1 час. Длится оперативное вмешательство около 1-1,5 часов.
Операция выполняется строго под контролем ультразвука. Применяется исключительно местная анестезия. На уровне нижней границы рефлюкса (но не более чем на 10-15 см ниже коленного сустава, т.к. ниже в непосредственной близости от вены «лежит» подкожный нерв) варикозно трансформированная подкожная вена пунктируется, в нее вводится оптическое волокно – световод. Световод позиционируется за 0,5-1,5 см от сафено-феморального соустья, в зависимости от характеристик световода. Такое позиционирование световода сводит к минимуму риск тромбоза глубоких вен или их травмирования, а также снижает риск развития неоваскуляризации (возможность рецидива) в будущем.
Затем производится местная туменесцентная анестезия раствором Лидокаина или его аналогами. Анестетик вводится по всей длине большой или малой подкожных вен в пределах перивенозного пространства. Помимо местного обезболивания этот раствор отводит «тепло» лазерного излучения, а также «обжимает» вену, чтобы уменьшить ее диаметр и максимально улучшить передачу тепловой энергии лазера на стенку вены. Анестезия выполняется строго под контролем ультразвука.
Следующие этап – непосредственно эндовенозная лазерная облитерация – вена «заваривается» от паха до места пункции. Работа лазера также непрерывно отслеживается ультразвуком.
Варикозно трансформированные вены удаляются методом минифлебктомии или «заклеиваются» методом склеротерапией, в каждом отдельном случае метод выбирается индивидуально.
Непосредственно сразу после оперативного вмешательства на оперируемую конечность одевается компрессионный чулок 2 класса. Пациент в чулке ходит круглосуточно 1-2 дня , затем выполняется контроль УЗИ и перевязка. Последующий контроль осуществляется через 1 неделю, через 2 недели, через 1 месяц, 2 месяца, полгода после оперативного вмешательства, чтобы подтвердить успешную процедуру, чтобы исключить любую потенциальную ТГВ или расширение тромба из подкожной вены в бедренную вену.
ЭВЛО является миниинвазивной альтернативой лечения варикозной болезни вен нижних конечностей. За 20 лет применения и прицельного наблюдения частота осложнений ранних и отсроченных снизилась в несколько раз по сравнению с другими альтернативными методами. Относительно короткий и практически безболезненный период восстановления после оперативного вмешательства. Поэтому уже несколько лет ЭВЛО считает ся золотым стандартом лечения варикозной болезни.
Не занимайтесь самолечением!
Определиться с диагнозом и назначить правильное лечение может только врач. Если у Вас возникли вопросы, можете позвонить по телефону или задать вопрос по электронной почте.
ведет прием в КДЦ «Арбатский» НМХЦ им. Н.И. Пирогова, метро Смоленская
Записаться на прием можно после бесплатной предварительной консультации по телефону (+7-906-037-77-87).

Comments
(0 Comments)